E Election2011 创职哥 注册 2011-03-10 消息 735 荣誉分数 6 声望点数 0 2011-04-06 #526 在2008年的联邦选举中,只有37%的18至24岁年青人投票。 学生投票程序训练旨在引导高中学生参加5月2日参与联邦大选(图) 附件 Yung Votes.jpg 17.7 KB · 查看: 138
ccc 难得糊涂 管理成员 VIP 注册 2003-04-13 消息 238,068 荣誉分数 37,471 声望点数 1,393 2011-04-06 #527 Election2011 说: 在2008年的联邦选举中,只有37%的18至24岁年青人投票。 学生投票程序训练旨在引导高中学生参加5月2日参与联邦大选(图) 点击展开... Also the voter turnout rate was at a historic low in the 2008 election.
Election2011 说: 在2008年的联邦选举中,只有37%的18至24岁年青人投票。 学生投票程序训练旨在引导高中学生参加5月2日参与联邦大选(图) 点击展开... Also the voter turnout rate was at a historic low in the 2008 election.
C CHRIS88 基督门徒 管理成员 VIP 注册 2006-05-10 消息 15,200 荣誉分数 1,456 声望点数 393 2011-04-06 #528 West Life 说: 小傻这是在赌啥啊,开出条件和赔率没 点击展开... According cmah, he is doing charity.
E Election2011 创职哥 注册 2011-03-10 消息 735 荣誉分数 6 声望点数 0 2011-04-06 #529 ccc 说: Also the voter turnout rate was at a historic low in the 2008 election. 点击展开... 2008投票率为百分之59.1稍低于前最低投票率百分之60.9(发生在2004年,保罗.马丁的自由党赢得了少数政府于)。 历史上,加拿大的选民投票率最高发生在1958年选举时,79.4%占登记选民参加这次选举中,以见证:约翰.迪芬巴克(John Diefenbaker,保守党) 以多数政府掌权。
ccc 说: Also the voter turnout rate was at a historic low in the 2008 election. 点击展开... 2008投票率为百分之59.1稍低于前最低投票率百分之60.9(发生在2004年,保罗.马丁的自由党赢得了少数政府于)。 历史上,加拿大的选民投票率最高发生在1958年选举时,79.4%占登记选民参加这次选举中,以见证:约翰.迪芬巴克(John Diefenbaker,保守党) 以多数政府掌权。
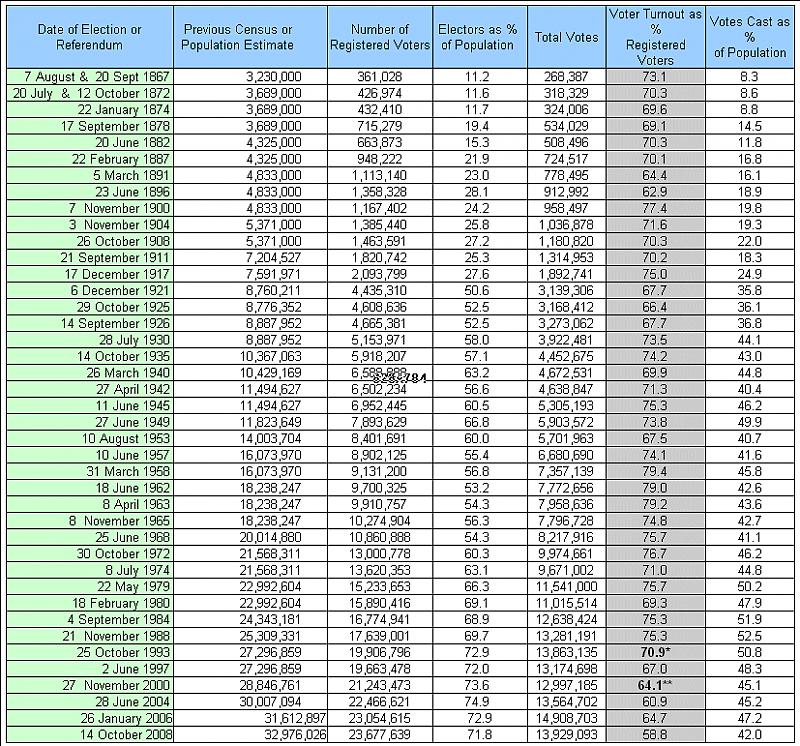
ccc 难得糊涂 管理成员 VIP 注册 2003-04-13 消息 238,068 荣誉分数 37,471 声望点数 1,393 2011-04-06 #530 Election2011 说: 2008投票率为百分之59.1稍低于前最低投票率百分之60.9(发生在2004年,保罗.马丁的自由党赢得了少数政府于)。 历史上,加拿大的选民投票率最高发生在1958年选举时,79.4%占登记选民参加这次选举中,以见证:约翰.迪芬巴克(John Diefenbaker,保守党) 以多数政府掌权。 点击展开... http://www.sfu.ca/~aheard/elections/historical-turnout.html 附件 Image2.jpg 200.7 KB · 查看: 129
Election2011 说: 2008投票率为百分之59.1稍低于前最低投票率百分之60.9(发生在2004年,保罗.马丁的自由党赢得了少数政府于)。 历史上,加拿大的选民投票率最高发生在1958年选举时,79.4%占登记选民参加这次选举中,以见证:约翰.迪芬巴克(John Diefenbaker,保守党) 以多数政府掌权。 点击展开... http://www.sfu.ca/~aheard/elections/historical-turnout.html
E Election2011 创职哥 注册 2011-03-10 消息 735 荣誉分数 6 声望点数 0 2011-04-06 #531 ccc 说: http://www.sfu.ca/~aheard/elections/historical-turnout.html 点击展开... 有谁知道华裔的投票率?好像比其它亚裔少很多! 上次村长问:加中自由贸易的好处:首先是,如果签订自贸协议,外交外贸部致少雇几十个华裔(最近见到两个以前的印度人同事都到外交外贸部上班了)。说不定某个CFC网民可以当个主任什么的! 估计2017年前能签订。
ccc 说: http://www.sfu.ca/~aheard/elections/historical-turnout.html 点击展开... 有谁知道华裔的投票率?好像比其它亚裔少很多! 上次村长问:加中自由贸易的好处:首先是,如果签订自贸协议,外交外贸部致少雇几十个华裔(最近见到两个以前的印度人同事都到外交外贸部上班了)。说不定某个CFC网民可以当个主任什么的! 估计2017年前能签订。
ccc 难得糊涂 管理成员 VIP 注册 2003-04-13 消息 238,068 荣誉分数 37,471 声望点数 1,393 2011-04-06 #532 Election2011 说: 有谁知道华裔的投票率?好像比其它亚裔少很多! 上次村长问:加中自由贸易的好处:首先是,如果签订自贸协议,外交外贸部致少雇几十个华裔(最近见到两个以前的印度人同事都到外交外贸部上班了)。说不定某个CFC网民可以当个主任什么的! 估计2017年前能签订。 点击展开... I am not interested in it.
Election2011 说: 有谁知道华裔的投票率?好像比其它亚裔少很多! 上次村长问:加中自由贸易的好处:首先是,如果签订自贸协议,外交外贸部致少雇几十个华裔(最近见到两个以前的印度人同事都到外交外贸部上班了)。说不定某个CFC网民可以当个主任什么的! 估计2017年前能签订。 点击展开... I am not interested in it.
E Election2011 创职哥 注册 2011-03-10 消息 735 荣誉分数 6 声望点数 0 2011-04-06 #533 ccc 说: I am not interested in it. 点击展开... 本人兴趣也不在此,但是给下一代华裔在外交贸部多创几个职位,是有利于社区的大好事!我的一个博后同事,昨天送来一电邮,在澳大利亚总理办某了一个高级顾问的位置。自加拿大华人要努力呀!
ccc 说: I am not interested in it. 点击展开... 本人兴趣也不在此,但是给下一代华裔在外交贸部多创几个职位,是有利于社区的大好事!我的一个博后同事,昨天送来一电邮,在澳大利亚总理办某了一个高级顾问的位置。自加拿大华人要努力呀!
E Election2011 创职哥 注册 2011-03-10 消息 735 荣誉分数 6 声望点数 0 2011-04-06 #534 少数民族投票率问题之一: 少数民族在加拿大投票效率被贫化: 虽然加拿大权利和自由宪章第三章规定所有成年公民都有权投票条,每一个人投票的价值(议员:选民)取决于投票人居住的地方。在加拿大的三个增长最快的省份 -艾伯塔省,不列颠哥伦比亚省和安大略;投票的价值越来越不符合人口增长的现实。在这些省份的平均选票价值不足其他任何省份。此外,在这些省内,边远农村选区的选票价值又多过城市选区。 2001年,城市“显见少数族裔选民”的投票的价值在不列颠哥伦比亚省为(0.78),艾伯塔省(0.85), 安大略省(0.83)。
少数民族投票率问题之一: 少数民族在加拿大投票效率被贫化: 虽然加拿大权利和自由宪章第三章规定所有成年公民都有权投票条,每一个人投票的价值(议员:选民)取决于投票人居住的地方。在加拿大的三个增长最快的省份 -艾伯塔省,不列颠哥伦比亚省和安大略;投票的价值越来越不符合人口增长的现实。在这些省份的平均选票价值不足其他任何省份。此外,在这些省内,边远农村选区的选票价值又多过城市选区。 2001年,城市“显见少数族裔选民”的投票的价值在不列颠哥伦比亚省为(0.78),艾伯塔省(0.85), 安大略省(0.83)。
E Election2011 创职哥 注册 2011-03-10 消息 735 荣誉分数 6 声望点数 0 2011-04-07 #535 巴里。凯博士论有色人种投票分布: 您这一票投不投,投谁? 依据Ipsos公司2008年选举日研究报告在线样本(35,000人):以下分类没有一类超出250人。{博主按:总计有色人种投票率=782/35000=2.23%/16.20%/42.00%=32.84% (其中没有除去可能的永久居民部分的负面影响)} ---16.20%为有色人种总人口(Visible minorities in Canada) ---42.00%08年投票率(#532 村长引表) --- 10%华裔08年投票 附件 Visible Minorities.jpg 28.3 KB · 查看: 105
巴里。凯博士论有色人种投票分布: 您这一票投不投,投谁? 依据Ipsos公司2008年选举日研究报告在线样本(35,000人):以下分类没有一类超出250人。{博主按:总计有色人种投票率=782/35000=2.23%/16.20%/42.00%=32.84% (其中没有除去可能的永久居民部分的负面影响)} ---16.20%为有色人种总人口(Visible minorities in Canada) ---42.00%08年投票率(#532 村长引表) --- 10%华裔08年投票
E Election2011 创职哥 注册 2011-03-10 消息 735 荣誉分数 6 声望点数 0 2011-04-07 #537 ccc 说: 看不懂。 点击展开... 样本:35,000 样本中有色人有效投票子样本:782 有色人口比率:16.20% 08投票率:42.00% 全民有效投票子样本:35,000×42.00% 有色人口应该参入投票子样本:35,000×42.00%×16.20% 有色人口实投际票率:=782/(35,000×42.00%×16.20%)=32.84%
ccc 说: 看不懂。 点击展开... 样本:35,000 样本中有色人有效投票子样本:782 有色人口比率:16.20% 08投票率:42.00% 全民有效投票子样本:35,000×42.00% 有色人口应该参入投票子样本:35,000×42.00%×16.20% 有色人口实投际票率:=782/(35,000×42.00%×16.20%)=32.84%
E Election2011 创职哥 注册 2011-03-10 消息 735 荣誉分数 6 声望点数 0 2011-04-07 #539 ccc 说: 还是不懂,什么是“样本”? 点击展开... 样本---抽样调查的总人数
E Election2011 创职哥 注册 2011-03-10 消息 735 荣誉分数 6 声望点数 0 2011-04-07 #540 如果有色人种投票率为32.84%,华裔投票率又是多少呢? 可能是<30%